加入收藏
学校首页
官方微信
导航
首页
学校首页
部门首页
机构简介
部门简介
机构设置
工作职能
联系方式
党建园地
党章党规
理论学习
支部活动
招生就业
招生简章
招生宣传
就业信息
就业指导
导师简介
教育培养
培养方案
学籍管理
教学管理
基地建设
学位管理
学位概况
学位申请
论文评审
学位授予
专业学位
学位评估
导师管理
学生工作
思想教育
心理健康
评奖评优
勤工俭学
学生活动
规章制度
招生就业
教育培养
学位管理
学生工作
下载中心
教育培养
学位管理
学生工作
工作流程
招生就业
招生简章
招生宣传
就业信息
就业指导
导师简介
首页
>>
招生就业
>>
招生宣传
>> 正文
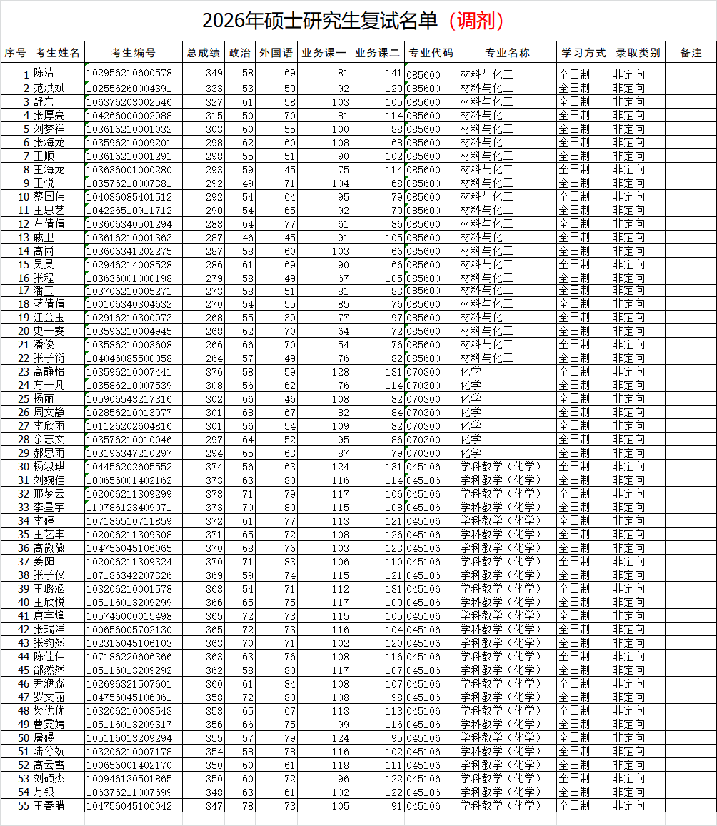
化学化工学院2026年研究生招生调剂复试名单
2026-04-09 13:38